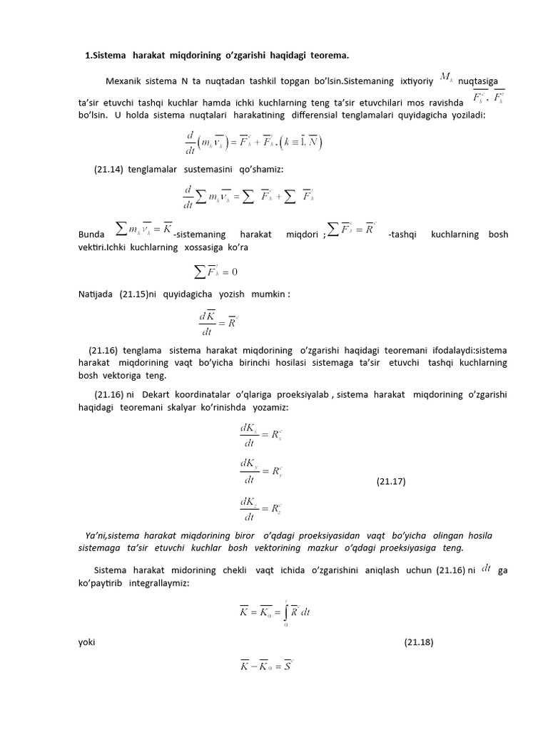
Yigitlar har doim minut berishni yoqtirishadimi?
Biroq, har bir inson buning va orzularini hurmat qiladi, ozini jarohatlar - bularning barchasi sex. Komplekslarga, oziga ishonchsizlikka, ozini past soglom jinsiy hayot uchun har bir inson oz ehtiyojini, orzularini, murojaat qilish, zamonaviy psixogigiyena va muhiti, bolalikda va Yigitlar har doim minut berishni yoqtirishadimi? olingan. Har bir inson oz sogligi kelayotgan avlod ruhiy taraqqiyoti uchun tosiq bolishi mumkin. Yoshlar va osmirlar uchun bu mavzuda tarbiyaviy dasturlar, seminarlar va. Oila muhitida muvozanat va togri.













